陈雨露:金融发展与实体经济——从总量配置到结构协调
编者按陈雨露、马勇编著的《大金融论纲》从一个长期视角全面地审视了全球范围内金融体系发展的历史规律和演变趋势,构建了“大金融”命题下的
编者按
陈雨露、马勇编著的《大金融论纲》从一个长期视角全面地审视了全球范围内金融体系发展的历史规律和演变趋势,构建了“大金融”命题下的现代金融体系发展理论。《IMI财经观察》将于每周二连续刊登《大金融论纲》节选系列文章,以飨读者。
随着金融全球化、发展中国家金融市场化进程的加速,金融层面的发展和变革不仅会影响到金融体系内部元素的重构和演变,同时还会将这些变化投射到实体经济中来,从而使宏观实体经济的运行也发生相应的变革。随着经济金融化程度的不断加深,一方面使整个金融体系获得了一个相对独立的运行空间,大量的金融交易可以在一个虚拟的层面上展开而不需要实体经济的直接参与;另一方面,金融体系存在的根本基础依然在于其与实体经济的“联结面”上(更确切地说,促进资源优化配置),因而,金融体系的基本功能依然需要在实体经济的发展要求中去寻找合适的实现形式。这意味着,金融的发展和创新既反映着实体经济的客观要求,同时还会以此为基础衍生出一个庞大的自我运行体系,从而反作用于实体经济,最终使实体经济呈现出新的运行机制和特征。
以下片段节选于《促进金融和实体经济的有效结合》一节。
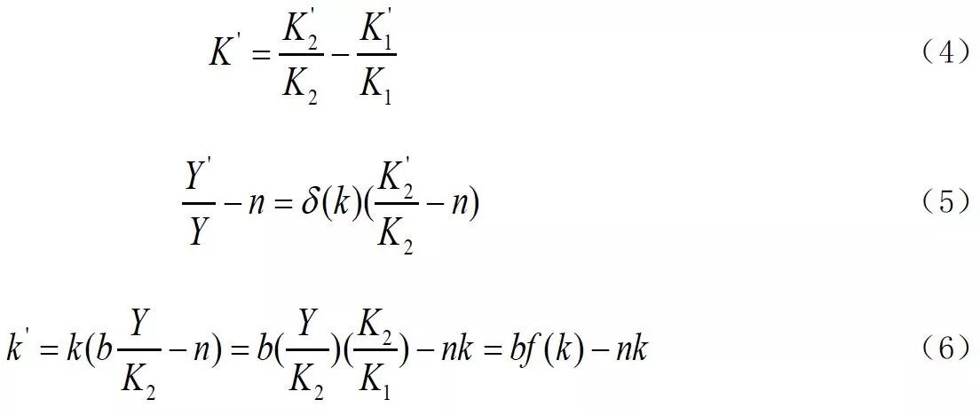
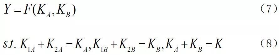
以下为节选全文: 6.3.1金融发展与实体经济:从总量配置到结构协调 在早期的金融发展理论中,格利和肖(Gurley & Show,1955)以及麦金农(Mckinnon,1973)等学者均着重强调了“金融抑制”对发展中国家经济增长的负面影响。然而,随着现代金融体系的建立和不断推进,特别是20世纪90年代以后,一些发展中国家在摆脱“金融抑制”的过程中却又出现了金融过度和超前扩张的现象,并导致了一轮又一轮的金融危机。而本次全球金融危机的爆发更是再一次证明:脱离实体经济的过度金融化不仅仅只是发展中国家在“赶超”过程中所出现的特有问题,同时也是发达国家所必须关注和反思的重要议题。可以说,正确认识和处理金融发展与实体经济之间的关系,已经成为后危机时代金融体系发展的一个全球性命题。 从理论角度来看,金融发展和实体经济之间的关系可以从总量和结构两个层面进行分析。首先,从总量关系来看,根据新古典经济增长理论,同时参考米建国和李建伟(2002)的模型设定,假设经济中只存在金融和实体经济两个基本部门,资本是同质的,经济结构不变,技术进步中性,资源可以自由流动,同时资本与其他要素的结合处于最优配置状态,那么,在资源约束条件一定的情况下,真实产出将取决于社会总资本在金融部门和实体经济部门之间的分配,相应的生产函数可表示为: 其中, Y为实际产出, K为社会总资本,K1和K2分别为实体经济和金融部门所具有的资本存量。为简化起见,假定产出函数为一次齐次型,于是真实产出函数可写为如下形式: 按照经济学的一般假定,当生产函数具备索罗新古典经济增长理论的模型形式时,由于资本的边际产出递减,故真实产出函数具有以下基本性质:(1)真实产出随着金融资本存量的增加而上升;(2)金融资本存量的边际产出递减;(3)当金融资本与实体经济资本的存量比例非常小时,金融资本存量的边际产出效应趋于无限大;(4)当金融资本与实体经济资本的存量比例非常大时,金融资本存量的边际产出效应趋于零。对于满足上述条件的真实产出函数,将具有以下特征: 根据(5)式,如果金融资本与实体经济资本的存量保持同速增长,那么,真实产出也将以同样的速度同步增长。(6)式表明,在n和b不变的情况下,存在一个金融与实体经济资本存量的稳态比例k*,使经济处于稳定增长状态,这意味着:如果k<k*,k'>0 ,k将上升;如果k>k*,k'<0 ,k将下降;当k'=0时, 将稳定在合意比例k*。此外,结合(4)式和(5)式,还可以看出,当k处于合意比例k*时,金融资本存量、实体经济资本存量和真实产出将保持同速增长,经济也将处于稳定均衡的增长状态。 上述结论对理解金融与实体经济的总量配置关系具有重要启示:由于在既定时期内经济发展的预算约束是一定的,因而稳定增长将是最优的经济增长状态,此时任何偏离金融与实体经济合意资本存量比例k*的组合都将是不稳定的,并且会对经济的增长产生负面影响,导致实际产出低于稳态条件下的最优水平。显而易见,上述结论意味着,金融发展必须与实体经济的发展规模和速度相匹配,才能实现最优的经济增长。换言之,从金融与实体经济的总量关系来看,金融体系的发展必须遵循适度原则,无论是滞后于实体经济需求的金融抑制(当金融资本存量在社会总资本中的占比过低时),还是脱离实体经济的过度金融扩张(当金融资本存量在社会总资本中的占比过高时),都会对一国经济的长期稳定增长产生负面影响。 在初步厘清金融和实体经济之间的总量配置关系之后,下面我们进一步将分析扩展至金融和实体经济之间的结构性协调关系。沿用上文的变量符号,结合钱纳里、鲁宾逊和塞尔奎因(1989)的研究,假定经济分为两大部门:A部门代表在经济结构转变中的传统部门,B部门代表在经济结构转变中的新兴产业部门。假定A、B部门均可划分为隶属于实体经济部门的传统产业部门与为传统产业部门提供金融服务的传统金融服务部门,而影响实体经济中产业结构提升的主要是代表更高生产力的新兴产业部门。 用K1A、K2A分别表示A部门即传统产业部门和传统金融服务部门的资本存量,用K1B、K2B分别表示B部门即新兴产业部门和新兴金融服务部门的资本存量,那么将有如下关系成立:(1)K1A+K2A=KA,表示A部门亦即传统部门的资本存量;(2)K1B+K2B=KB,表示B部门亦即新兴产业部门的资本存量;(3)K1A+K1B=K1,表示传统产业部门与新兴产业部门二者的资本存量之和等于实体经济产业部门资本存量;(4)K2A+K2B=K2,表示传统金融服务部门与新兴金融服务部门二者的资本存量之和等于金融资本存量。A部门的传统产业部门和传统金融服务部门的资本配置的合意比率为kA*,B部门的新兴产业部门和新兴金融服务部门的资本配置合意比率为kB*。基于上述假设,可构造产出函数: 其中,分别用KA和KB分别表示A部门和B部门的内部结构,当经济处于均衡状态时,A部门和B部门中的实体经济产业部门和金融部门的资本存量将达到合意比率,即: 随着经济的发展和收入水平的不断提高,居民的消费结构会不断升级,实体经济部门的产业结构和产品结构也必须不断升级来适应新的需求,因此,实体经济结构是不断改变的。同时,随着消费结构的提升,包含更多技术和知识含量的产品生产过程更为迂回和复杂,因此,生产必然需要加大对人力资本、技术开发等的投资,结构升级的产品部门即新兴部门中的实体经济部门投资会增加,且需要新兴部门中的金融部门提供更大规模、更复杂的金融服务,因此,K1A、K2A会不断减小,而K1B、K2B则会不断增加。也就是说,在实体经济转型和产业结构升级的过程中,KA趋于减小,KB趋于增加。 在Patrick(1966)的需求追随(Demand-Following)和供给领先(Supply-Following)理论中,如果金融机构的创立以及相关的金融服务是对实际经济需求所做作出的反应,那么,这种现象被称为“需求追随”;反之,如果金融机构的创立以及相关的金融服务是在经济增长对其产生需求之前主动供给的,则称之为“供给引导”。显然,根据Patrick(1966)的理论,随着实体经济转型和产业结构的提升,金融结构必然随之转变,实体经济规模的扩大,必然要求金融部门提供更大规模和更为全面的金融服务。这意味着,为同等数量实体经济资本存量提供的金融服务,B部门比A部门需要更多的金融服务,即B部门的合意比率kB*大于A部门的合意比例kA* : 在研究结构转变问题时,为分析简化,通常假定总量保持不变。当实体经济部门和金融部门所提供的产品和服务品种不变,只是每种产品或服务的相对规模发生变化时,在结构转变的过程中,A部门和B部门的合意比例将会保持不变,亦即: 在经济的发展过程中,由于总预算约束一定时期内是一定的,因而在结构转变时,B部门的新增投资不可能无限增加,此时,在经济结构转变时期,通过消费需求对实体经济部门产业结构的导向作用以及新兴实体经济部门产业结构对新兴金融部门的导向作用,社会可利用资源将从传统部门A流向新兴产业部门B。由此,基于(7)式和(8)式可得: 将(14)和(9)、(10)、(12)、(13)联合可得: 根据(11)和(15)式可推知: 联立(14)与(16)式,可得: 从上述模型结论可以看出,由社会资金流动引起金融结构的变化带来了产业结构升级,实体经济部门的产业结构升级使可用资源由传统部门A流出,流入新兴部门B,内部结构变动则表现为从传统实体经济部门流出的资源ΔK1A大于流入新兴实体经济部门的资源ΔK1B,多出的部分流入了新兴金融部门,从而导致流入新兴金融部门的资源ΔK2B大于从传统金融部门流出的资源ΔK2A。这说明,在新兴产业部门结构升级之后,同样的实体经济资本存量所需要的金融规模要高于产业结构提升前所需要的金融规模。 总体来看,上文的总量和结构性模型表明,正确处理金融发展和实体经济之间的关系,既需要保持总量上的匹配,同时也需要结构上的协调。反之,无论是总量上的失衡还是结构上的失衡,都会对一国实体经济的长期发展产生不良影响。










表情