央行孙国峰:货币创造和中国影子银行
2017年中央经济工作会议提出三大攻坚战之首是防范化解重大风险,影子银行是重大金融风险隐患,正确分析影子银行的运行机制以及对货币政策和金融
2017年中央经济工作会议提出三大攻坚战之首是防范化解重大风险,影子银行是重大金融风险隐患,正确分析影子银行的运行机制以及对货币政策和金融稳定的影响十分重要。清华五道口金融EMBA授课教授、中国人民银行金融研究所所长孙国峰在《中国社会科学》2015年第11期发表的《中国影子银行界定及其规模测算——基于信用货币创造的视角》首次基于信用货币创造的视角对中国影子银行进行了研究。研究发现,中国影子银行主要是银行通过资产创造负债的会计手段创造信用货币所形成的银行影子,基于银行表内外总资产负债平衡的原理,用扣除法测度发现,2014年9月末中国银行影子规模为28.35万亿元,在信用货币创造中占比为20.43%。银行影子的资产名义上是同业、投资等,实质是贷款,创造了信用货币。银行将这些实质为贷款的资产转移到表外,同时也将相应的存款转为理财产品。和通常人们理解的不同,银行理财业务不能创造货币和信用,也不能为企业提供资金,创造信用并满足融资需求的是银行资产扩张行为。除了银行影子,中国的影子银行也包括非银行金融机构通过货币转移途径扩张信用形成的传统影子银行,但其规模相对较小。为防控金融风险,针对银行影子应当采用资产准备金的宏观审慎工具进行管理,对传统影子银行则可采取基于负债的风险准备金的宏观审慎工具进行管理。
孙国峰所长的这一学术论文虽然在2年多前就已公开发表,但从货币创造角度出发分析影子银行对于理解当前金融运行和防范金融风险仍有很强的指导意义。一是宏观审慎政策的出发点。中央银行将理财产品对应的资产纳入MPA,并将在宏观审慎政策框架中纳入更多影子银行,是因为银行影子创造货币,央行出于宏观调控的目的需要对此进行管理。二是完善资产管理行业长效发展机制的理论基础,如何从货币创造的角度理解非标和理财产品。三是分析银行体系流动性的新视角。既然银行影子创造货币,其发展和调整必然会对银行体系流动性产生影响。孙国峰所长提出的贷款创造存款的货币创造理论,曾对金融机构从业者正确分析银行体系流动性和货币政策操作产生了颠覆性影响,他这篇关于将货币创造理论拓展到影子银行的文章相信也将对金融机构分析影子银行、资产管理业务以及银行体系流动性、宏观审慎政策等产生深远影响,有利于金融市场参与者更为清晰、深刻地理解金融体系的运行机理,从而在业务行为中建立科学合理的投资交易框架。
孙国峰所长在该文中还将其提出的以贷款创造存款(LCD)机制为主要特征的信用货币创造理论做了进一步的拓展。指出银行通过资产扩张创造信用货币,但不同形式的资产扩张创造信用货币的经济含义不同。根据银行用以创造信用货币而购买的资产种类不同,可以将银行创造信用货币的方式分为三类。第一类方式是银行购买对信用货币持有主体的债权,即贷款。第二类方式是银行购买对第三方主体的债权,如外汇、国债等。银行购买外汇是持有对外国银行的债权,购买国债是持有对财政的债权。第三类是银行给自身购买商品(如购买办公大楼)。需要限定银行通过创造信用货币方式购买资产的范围,允许银行购买对客户债权,限制购买对第三方债权,禁止给自身购买商品,以此划定银行创造货币能力的边界,防止银行信用货币创造行为的失控。
文/ 中国人民银行金融研究所所长孙国峰、贾君怡
基于信用货币创造的视角界定和分析中国影子银行业务,可以发现:中国影子银行业务包括银行通过资产创造负债的会计手段创造信用货币所形成的银行影子,以及非银行金融机构通过货币转移途径扩张信用形成的传统影子银行。从银行资产负债表出发,用扣除法对中国影子银行规模进行测度发现,银行影子在信用货币创造中占比较高,对经济运行和社会财富分配有重大影响。故有必要明确划定银行扩张资产创造信用货币的边界,针对银行影子和传统影子银行分别设计宏观审慎管理工具。 ——孙国峰 贾君怡 一、引言和文献综述 近年来,中国影子银行业务快速发展,成为金融体系中不可忽视的组成部分。影子银行的功能是为实体经济提供信用。从微观主体的角度看,货币创造型融资和货币转移型融资的最终结果,都是企业或个人可用资金增加,其效用相同。但从宏观角度看,基于货币和信用与宏观变量的相关性差异,有必要区分融资是通过货币创造实现的信用,还是仅仅以货币为媒介、表现为货币转移的信用,因此应重点分析影子银行是否创造信用货币。本文尝试从信用货币创造这一新视角,分析中国影子银行体系的运作机制,区分银行影子和传统影子银行,对中国影子银行规模进行测算,并提出对中国影子银行进行宏观审慎管理的建议。 从国际上看,对影子银行问题的关注和研究,主要集中在本轮全球金融危机发生之后。雷曼兄弟公司倒闭和Reserve Primary Fund货币市场基金遭到挤兑等事件,使人们注意到影子银行的负债方类似于存款,有一定的货币功能。当时美联储针对这类非银行机构,提出了影子银行的概念。中国对影子银行的关注和研究,主要与杠杆率等金融风险问题以及金融支持实体经济等相联系,与国际上有所不同。在关于影子银行的大量研究中,我们主要关注以下三类文献。 第一类文献是关于影子银行的界定。由于理解视角不同,学者和机构对影子银行的界定方式各有差异。国际货币基金组织(IMF)总结了国际学术界关于界定影子银行的三个标准。第一,从参与实体看,一般指游离于监管体系之外、与银行相对应的金融中介机构,如Adrian and Shin (认为是以市场为导向的金融中介机构)、Acharya等(认为像银行一样实施借短贷长和杠杆活动,但受到较少监管的非银行金融机构),以及Ricks和Pozsar等(认为实施具有期限、信用和流动性转换功能活动,但无中央银行流动性支持的参与实体)。第二,从实施活动看,系指创新金融工具和金融活动,如FCIC、Li等、Claessens和Ratnovski(认为是与银行业务相类似、但受到较少监管或不受监管的信用中介业务)、Kocjan等(认为系指资产证券化业务)。第三,从创新市场看,系指证券化市场或者金融衍生品市场,如Gortonh和Metrick(认为系证券化市场以及提供短期资金的回购市场)。 由于各国经济发展和金融结构各异,“影子银行”在空间维度上的表现形式不尽相同。正如金融稳定理事会(FSB)在《2013年全球影子银行监测报告》最后总结的,“具体何种对象才算影子银行业务,可能并不存在国际通行口径,要视不同经济体的金融体系和监管体系的具体情况而定”。与发达国家相比,中国的影子银行有自身的特殊性,FSB提出的定义在中国没有直接的对应,这一观点已得到大部分学者的认可。如周小川提出,“在中国,影子银行的构成与发达市场国家存在较大区别”,前者“规模较小,产品结构也相对简单,风险尚没有凸显”。 实际上,自信用货币制度建立以来,就有影子银行的踪迹,在历史上很多次经济危机和金融危机中,都存在游离于传统信用货币体系之外的金融机构和工具。马克思在总结1857年的欧洲金融与经济危机时认为,危机根源不是银行券的滥发,而是银行的储蓄与信贷的崛起(公众手中货币的决定性力量),后者并未被政府列入正式的金融体系中加以管理。这是当时意义上的“影子银行”。随着金融工具的不断创新,“影子银行”可以说是另一种形式的“储蓄与信贷”,同样具有一定的货币功能。本轮国际金融危机爆发后,Zoltan Pozsar在论及货币层次的扩展时支持了上述观点。他认为,货币根据政府流动性支持和信用担保程度的差异可以分为四个层次:通货和准备金,存款,回购工具,货币市场基金单位。其中的回购工具和货币市场基金单位分别由市场交易商和货币市场基金发行,在缺少监管的同时,也缺少相应的政府流动性和信用支持,为完全意义上的私人货币,可称之为“影子货币”。一些最新文献从信用功能视角,对影子银行进行考量,包括“信用功能标准”(FSB)和“融资方式标准”(Shin和Harutyunyan等)。FSB将影子银行定义为:“所有在受监管的银行体系(Regulated Banking System)之外的非传统信用中介形式”。这一界定立足于金融的基本功能(信用中介和信用创造),适用性更强,因而体现在许多学者针对影子银行的研究中(尤其是非美国国家和地区),包括欧元区(如Bakk-Simon等和Bengtsson)、加拿大(如Gravelle)等。 许多针对中国影子银行的研究也体现了上述思想。殷剑锋、裘翔将中国影子银行划分为在银行资产负债表中不被统计为信贷的信用活动(主要部分),以及非银行金融机构的创新业务。曾刚认为,在信用意义上,银行同业较之非银行同业有很大区别,前者创造的信用和资金流入了实体企业,是较为严格意义上的信用,后者创造的信用则是对金融体系自身的支持,是较为广义上的信用。但这一“信用功能标准”并未考虑到,银行提供信用必然创造信用货币,并导致资产负债同时扩张,也不认为理财等银行表内或表外负债,来源于银行贷款或类信贷业务对信用货币的创造,因此并未触及信用货币创造的实质问题。“融资方式标准”则将金融体系的负债按照资金稳定性,分为两部分:核心负债(稳定性高,如一般性存款等)和非核心负债(稳定性低,如同业存款、外币负债等)。在此基础上,Shin分析了后者与金融体系稳定性的关系。但是这一划分方法混淆了银行资产和负债的因果关系。 第二类文献力图为影子银行规模的核算,提供理论基础。现有的大部分核算方法按照影子银行子类业务的规模进行加总,由于具体业务范畴不同,核算结果存在较大差异。阎庆民根据受监管程度的大小,将中国影子银行划分为6种不同口径,他测算的最广义口径的影子银行达到67.03万亿元,狭义口径估算规模为10.3万亿元。刘煜辉测算“区别于正规信贷业务的其他债务方式”的规模约为25万亿元,其中银行影子业务规模约为10万亿元。高善文着重研究了银行的表外融资业务,并以社会融资规模指标为基础进行估算,认为其处于7.1 -21.9万亿元之间。上述核算方法简明直观,但在实际的业务操作中,各个子类业务往往存在交叉,或者实质相同的业务被不同机构统计在不同的会计科目下,容易导致统计上的重复计算或漏算。Harutyunyan等的“负债核算法”,为解决上述问题提供了新思路。“负债核算法”与传统的“子类业务加总法”(仅适用于表外资产证券化核算,构成美国影子银行的主要部分)比较,前者更能捕捉到表内资产证券化(欧洲国家影子银行的主要表现形式,如担保证券“Covered Bond”)的规模,并且核算结果在时间和国别维度上是可复制的。这为影子银行的历史比较与国际比较提供了可行性,但目前尚未有针对中国影子银行的此类相关研究。 第三类文献旨在为实现影子银行的有效调控,提供理论基础和政策建议,主要关注是否监管以及如何监管两个问题。关于是否监管问题有三种观点。(1)全面监管。基于回归的实证研究和基于货币需求理论的模型分析均表明,美国资产证券化业务(或者中国的影子银行)通过信贷渠道和流动性渠道,削弱了货币政策的最终目标和调控效果,建议监管当局扩展宏观观测指标,并逐步完善监管监测体系。(2)适度监管。Ghosh和Schwarcz 认为,中国影子银行有利(能满足实体经济的资金缺口,弥补市场非有效性)有弊(如潜在高杠杆,加大顺周期性,系统性风险传导等),监管当局需要进行权衡并采取措施以保障“影子资金”的安全性。(3)视情况而定。朱孟楠的研究显示,对传统银行更加严格的监管、反而会导致影子银行活动更加活跃,并降低社会总体福利,建议当局避免对传统银行进行过于严格的管制。关于如何监管的问题涉及到总体监管思路和具体监管措施研究。目前的监管思路包括巴塞尔协议Ⅲ的“宏观审慎管理和逆风向调节”、王达和Pozsar的“功能监管”以及巴曙松的“分类监管”等。 总结上述文献可以发现,由于发达经济体的影子银行主要体现为信用货币的转移行为,而这种转移向实体经济所提供的信用具有一定的货币属性,因此需要重点从参与实体、实施活动和创新市场等角度进行分析。而关于中国的影子银行,则需重点关注对实体经济的融资功能和金融风险问题。鲜有文献从信用货币创造角度,对影子银行运行机制进行分析;也没有从信用货币创造角度,对影子银行规模进行测算。鉴于此,本文从信用货币创造理论出发,尝试以银行资产负债表为分析工具,对中国影子银行的信用行为机制进行理论剖析,并对其规模进行测算。 二、中国影子银行的界定及其信用行为机制 (一)中国影子银行的界定:银行影子与传统影子银行 明确中国影子银行的内涵,这是展开研究的基础。按照信用行为机制不同(货币型信用机制和非货币型信用机制),中国影子银行业务可以划分为银行影子和传统影子银行。银行影子系指银行以规避监管和贷款相关限制为目的,以不规范的会计记账为手段,通过创造信用货币为企业提供融资的业务。主要表现为以其他银行为通道的信贷资产双买断、票据买入返售、同业代付、买入转售等,以及以信托投资公司、证券公司、基金子公司、保险公司等非银行金融机构为通道,行使信托受益权转让、信用挂钩收益互换产品(TRS)、券商定向资产管理计划、基金特定资产管理业务等。银行影子实际上是银行开展的“类贷款”业务,本质上与银行贷款是相同的,在资产扩张、创造货币的同时创造信用,满足实体企业的融资需求,但却没有记在贷款科目下。由于银行影子主要借助第三方金融机构,因此多表现为银行资产负债表资产方的同业资产,也有一部分表现为投资资产,或者表现为移出资产负债表(例如表外理财对应的表外同业资产)。 传统影子银行主要指由非银行金融机构在银行之外独立开展的,通过货币转移来创造信用为企业提供融资的业务,由于信用行为机制与发达经济体的影子银行(如货币市场基金、资产证券化等)相类似,因而称为传统影子银行。主要表现为非银行金融机构(包括信托公司、证券公司、财务公司、金融租赁公司以及小额贷款公司等)在不作为银行通道的情况下,将募集的闲置资金通过信托贷款、资产管理计划、设备租赁、抵押贷款、信用贷款等方式,转移给实体经济借款人的行为。在这一过程中,非银行金融机构的作用是信用中介,信用规模增加而货币数量不变,创造信用是通过货币结构调整(货币从投资者转移至融资者)实现的。 通过明确中国影子银行内涵可以发现,与欧美等发达国家相比,两者在产生背景、运作机理和风险特征上都存在很大差异。欧美等发达国家影子银行资金的主要来源是基金,产品的底层资产往往是次级贷款,主要表现为多次资产证券化和回购业务。根据FSB于2014年10月发布的报告,全球影子银行占比最高的是除货币市场基金和对冲基金之外的其他投资基金(38%),包括股权投资基金、债券投资基金以及其他非股权和非债券投资基金。其他的依次为证券公司(15%)、结构融资工具(Structured Finance Vehicles,8%)、荷兰的特殊融资机构(Dutch Special Financing Institutions,7%)、财务公司(6%)、货币市场基金(6%)、信托公司(3%)等等。发达经济体的影子银行业务主要表现为行使货币转移功能的传统影子银行,资金来源决定资金运用。但中国影子银行业务的主要内容是银行影子,本质仍然是与贷款相同的资产创造负债的信用货币创造行为。 (二)银行影子的信用行为机制 银行影子与传统影子银行在信用行为机制上有较大的差异,对金融总量的影响也不相同。传统影子银行通过货币的转移创造信用,新增信用不对应货币扩张;而银行影子在创造信用的同时创造货币,新增信用与货币扩张是相统一的。上述差异使得两者不仅可以分别测算,而且由于对宏观总量的影响不同,在监管方面也需要区别对待。根据孙国峰1996年、2001年、2004年合成的上述信用货币创造理论,经济主体包括货币当局、银行、非银行金融机构以及非金融企业和居民四个部门。其中银行是唯一具有货币创造功能的部门,其在发放贷款、购买外汇、购买企业债券等资产扩张的同时,增加客户存款从而实现了信用货币的创造。这一过程受到货币当局的现金制约、清算制约和法定准备金制约,在现实中还受到资本和信贷政策的约束。由于对客户发放的贷款在监管上风险权重较高、资本消耗多,还受到产能过剩行业、地方政府融资平台以及房地产等信贷投向的限制,因而会影响银行资产扩张能力和营业利润。因此,在缺乏法律约束的情况下,为减少资本消耗和规避信贷政策,银行有动力寻求其他资产运用渠道,将某些本在贷款项目下的资产转变为资本消耗少且能规避信贷政策的同业往来、同业代付、信托收益权等资产或表外业务等,同时在负债方创造等量存款货币,以满足非金融企业的融资需求。这些资产或表外业务实质是贷款,其创造信用货币的原理与银行通过贷款创造信用货币的原理是相同的。即银行增加某类资产,同时在负债方增加一笔存款,该笔存款即为信用货币。其与贷款创造的信用货币相同,都能够满足企业和个人的资金需求,但该类资产在会计记账时,不规范地记在了非贷款的其他会计科目下,或转移至表外以规避监管,也没有满足贷款的相关规定或要求。这就是银行影子名称的由来。 分析银行资产方的基本构成,有助于了解银行影子的运作方式和业务种类。根据资产科目不同可以将银行影子业务区分为 “同业渠道”和“投资渠道”。依照对手方不同,前者又可以进一步分为以商业银行为对手方的“银行同业渠道”(如同业代付、买入返售等),以及以非银行金融机构为对手方的“非银行同业渠道”(如同业拆放等)。后者则包括银信(证)合作、券商资管通道、基金子公司通道、票据和信托受益权的“信贷资产转投资资产”模式等。下面具体分析这三种影子业务模式的信用货币创造机制。 “银行同业渠道”,指银行向企业提供类似贷款的融资,并创造等量货币,但却通过两家银行间的操作,将本应记于贷款科目下的资产隐匿于同业资产下,从而规避了资本充足率要求和信贷投向限制。其中常见的三种操作方式是“买入返售银行承兑汇票”、“同业代付”和“买入返售信托收益权”。以“同业代付”为例,银行B委托银行A向企业Q提供融资,同时承诺在未来某一时间还给A银行此次代付的本金和利息,涉及的会计实践如表 1所示。银行A按照同业资金运用记入“同业拆出”科目,同时在负债方增加企业Q的等额存款。其对金融总量的影响是,货币与信用同时等额扩张,也可以说是,银行通过创造货币向企业提供了信用。与此同时,银行B仅将偿本付息承诺记在表外,资产负债表没有任何变化。在这里,银行A是“通道机构”,作用是隐匿贷款资产,银行B在规定日期偿本付息,是真正的资金来源方和贷款风险承担者。“买入返售银行承兑汇票”与“买入返售信托收益权”的会计实践结果类似。可以看出,“同业渠道”与传统的贷款资产没有本质上的区别。 表 1:银行同业渠道的信用行为机制 (单位:元)

“非银行同业渠道”指银行以同业拆借、同业存放和买入返售中的任何一种方式,向非银行金融机构融出资金,同时在负债方等额增加其他金融机构的存款,再通过委托贷款等方式转为企业存款。涉及的会计实践如表2所示。
表 2:非银行同业渠道的信用行为机制 (单位:元)

“投资渠道”指银行向非金融企业提供类似贷款的融资,并创造等量货币,但是通过与金融机构间的操作,将本应记于贷款科目下的资产隐匿于投资资产下,从而规避信贷投向限制。常见的模式主要有银信(证、基、保、资)合作等,目的是将实质上的信贷资产隐匿为投资资产,并转记在表内的“可供出售金融资产”和“应收款类投资”等科目。以银信合作为例,如表 3所示,企业Q向银行B提出融资需求,但银行受到信贷投向限制不能直接放贷,其使用的影子银行业务操作为,信托公司T设立投资于企业Q的信托产品,银行B购买此信托产品的受益权。入账时,银行B将信托收益权记入“应收账款”或“可供出售类金融资产”科目下,企业Q的存款同时增加,使自身融资需求得到满足。在这里,信托公司只是帮助银行实现贷款合规化的通道,在货币创造过程中不起实质作用,创造货币和信用的主体仍是银行。需要注意的是,除了银行同业业务之外,本文图表所示银行均指整个银行体系,所以即便是非银行金融机构与企业Q不在同一家银行开户,业务活动也可以表示在同一张资产负债表下。
表 3: “银信合作”模式的信用行为机制 (单位:元)

目前一些有关银行理财产品的认识存在片面性,并对规模测算产生了干扰。一种流行的观点认为,银行B通过发行理财产品“募集资金”,并以此“购买”投资于企业Q的金融资产(如信托公司、资产管理公司或证券公司作为资金受托管理人运作的信托贷款或资产管理计划等),由此实现了“资金”由理财产品投资者到融资企业的转移。但从信用货币创造理论的角度看,上述观点存在较大偏差。如表4所示,在居民R1和R2分别用银行存款D1和D2(假设为银行通过对居民发放贷款所创造)购买银行的保本和非保本理财产品时,涉及的资产负债表变化为:对购买保本理财产品的居民R1而言,银行存款D1由储蓄存款转变为结构性存款(仍在表内);对于非保本理财产品而言,由于银行不承担兑付风险,对应的存款负债D2被移出资产负债表,为了平衡资产负债表,同时将等额的资产方信托受益权也移到表外。
表4 :理财产品信用行为机制 (单位:元)

从上述变化来看,购买理财产品只会引起存款科目的变化或者存款出表,而不会转移至其企业Q的存款账户,因而也就不存在通过理财产品“募集”资金去购买资产或者支持企业项目。实际情况是,融资企业Q的资金来源于银行通过在资产方增加信托受益权,这种不规范贷款行为所创造出的信用货币,而非来自于D1或D2的存款。在D2移出表外的同时,为了实现资产负债表的平衡,还需将等额的XX资产也移出表外(多为债券和非标资产),而这些资产才是创造企业Q存款、满足企业融资需求的源头。换句话说,银行通过XX资产的扩张创造了企业Q的存款(银行影子的运作模式),满足实体资金需求,与此同时,R2投资非保本理财产品,银行将XX资产与等额的用于购买非保本理财产品的储蓄存款,人为地匹配起来同时出表,因而两者并不具有天然的匹配对应关系(如直观认识中的“利用募集的理财资金去购买等额的资产”)。理财业务本来只是银行在利率市场化尚未完成背景下的一种“高息揽储”行为,不能创造货币和信用,也不能为企业提供资金;创造信用并满足融资需求的是影子资产—XX资产。这也是国内一些研究在测算影子银行规模时,同时考虑XX资产和理财产品会造成重复测算的原因。当然,非保本理财业务能够释放资本金(随着XX资产出表)和准备金(随着存款D2转化为理财后出表),为银行进一步的资产扩张(需要资本金支持)以及创造信用货币(需要准备金支持)腾挪了空间。IMF对中国银行理财产品的研究发现,理财产品发行规模越大的银行杠杆率(资产与一级核心资本的比率)越低,其背后的逻辑就在于此。但理财产品本身并没有创造信用(和货币),也没有起到信用中介的作用,因而并不在本文影子银行的范畴中。从上述分析可见,银行影子业务虽然模式繁杂、参与机构多样,但实质上就是银行的信贷业务,判断的关键之处在于观察最终获得信用货币的主体是否为银行增加的债权资产的实际债务人。从银行影子的初衷和运行机制看,最终获得信用货币的企业是债务人,而银行与企业之间的所谓非银行金融机构“通道”并不承担信用风险,最终债权人仍为银行。换言之,无论交易结构和参与方如何变化,资金的最初提供方都是银行,资金的最终去向大都是难以直接从银行贷款的融资主体,复杂的交易结构设计目的,就是要使银行与原本无法从银行融资的实体建立起“间接性联系”。因此,银行影子实质上就是银行的信贷业务。
(三)传统影子银行的信用行为机制
传统影子银行系指信托公司、证券公司、基金公司、财务公司、租赁公司以及小额贷款公司等非银行金融机构,通过货币的转移来创造信用,以满足社会融资需求。如表5所示,在不作为银行影子的“通道”时,信托公司T通过发行金融产品从居民R募集闲置资金,并以信托贷款的形式将资金转移给企业Q。信托公司入账时,负债方对R的资金信托增加,资产方募集的货币资金也增加,用上述资金发放信托贷款后,资产方的货币资金减少,同时信托贷款资产增加。这一信用创造(中介)过程在银行的资产负债表上表现为,在居民R存款减少的同时,企业Q的存款增加。因此,信托公司、证券公司等非金融机构的信用创造是通过货币转移完成的,既不会创造存款使货币增加,也不会使存款流出银行体系。非银行金融机构的信用创造(中介)行为,不会影响银行创造的货币总量。
表5 :非银行金融机构的信用行为机制 (单位:元)

对银行影子和传统影子银行进行比较分析的前提,是厘清信用与货币的关系。信用的经济学含义是一种债权债务关系,贷出方为债权人,借入方为债务人,信用关系则是债权债务关系的统一;(信用)货币的基本特征是以经济学意义上的信用作为一般等价物,是一种债务凭证。两者的关系是,信用的范畴包括但不仅限于货币,货币是信用的一种特殊表现形式,是政府和非银行私人部门可接受的一般性信用。根据是否创造货币,可以将信用分为货币创造型和货币转移型。具体而言,社会的信用创造活动主要由三部分构成:银行的信用货币创造,非银行金融机构的货币转移,不通过非银行金融机构的非金融部门之间的货币转移。它们分别对应着银行融资、非银行金融机构融资和民间融资三种社会融资活动。根据信用货币创造理论,银行在发放贷款的同时创造存款货币,其实质是银行与客户之间债权债务关系的交换,属于货币创造型信用。非银行金融机构和民间金融无法创造货币,只能通过货币转移创造信用,表现为现金或者银行存款从居民R转移至企业Q。在这个过程中货币没有被创造,但是社会的信用总量增加了,即货币转移型信用。
从信用与货币的关系可以看出,银行影子与传统影子银行的区别体现在两者的信用行为机制不同,对金融总量的影响也不同。银行通过资产扩张创造信用,与此同时客户存款增加,从而创造货币。因此,在银行部门信用与货币是统一的,信用的扩张意味着等量的货币增加。非银行金融机构通过发行金融产品,将资金由资金闲置方转移到资金需求方,从而创造信用,货币在转移的过程中,使用效率得到提高,但是货币总量不变,信用规模与货币数量并无直接联系。从宏观看,两者有重要差别。大量实证分析证明,货币和通货膨胀有高度相关性,但信用和通货膨胀的相关性并不明确,两者对宏观变量的影响并不完全相同。这可以货币流通速度的定义式简要说明。实体经济的融资需求引致银行发放贷款,造成货币数量增加;企业和居民买卖商品的总量PY则加速货币流通,从而使货币流通速度提高。二者实际上是在完成“货币追逐商品”这一行为,对商品价格产生直接影响(当太多的货币追逐太少的商品时导致通货膨胀,反之导致通货紧缩)。并且两种行为的影响是等价的,如企业购买一批原材料对价格的影响是一定的,不论资金来源于银行通过发放贷款创造的货币(增加),还是向居民出售本企业商品而获得的货款(提高)。以非银行金融机构为主的影子银行的信用行为,将货币从资金闲置方A转移至资金需求方B,并没有伴随商品的交换,对物价的影响仅仅体现在可能缩短了实现货币追逐商品这一过程的时间(因为货币只有转移到资金需求方B,方可用于购买商品并造成的提高)。这与银行信用行为对通胀造成的影响,显然不同。充分意识到两者的区别,对于科学测算中国银行影子的规模、制定有针对性和前瞻性的监管政策十分必要。
三、影子银行规模测算
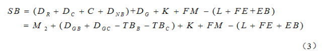
对影子银行规模的测算,包括对银行影子和传统影子银行规模的测算。关于银行影子规模测算,由于其业务模式多样,所涉会计科目繁杂,参与机构复杂,从银行资产方直接识别和统计的难度较大。从“有借必有贷,借贷必相等”这一基本会计原理出发,银行影子的资产扩张和随之创造出来的存款规模应该是相等的。因此,我们可以从银行的负债方入手,用可能负债减去所有“非影子资产”(包括贷款、外汇、企业债券等传统资产)的扣除法,推算银行影子的规模。
表6: 银行货币创造等式

从表6可知,若将所有银行视为一个整体,合并资产负债表的资产方,可以分为“非影子资产”NSB(或传统资产,包括贷款L、外汇占款FE和企业债券投资EB)和“影子资产”SB,假设两者创造的负债是存款D,则有:
NSB+SB=L+FE+EB+SB=D (1)
D主要是居民存款DR和非金融企业存款Dc,考虑到实际因素,还包括由存款转变的流通中现金C、净财政性存款DG、非银同业存放DNB以及银行资本K,具体分析如下。 第一,流通中的现金C是中央银行创造的现金扣减银行库存现金后的流通中现金总额。人们因交易需求而持有的现金,使得部分存款货币转化为现金货币,其实这部分存款最初也是通过银行资产的扩张实现的,因此要将这部分非银行部分持有的现金计入等式右端。 第二,DG代表由居民和企业存款转化而来的财政存款部分,转化途径包括居民和企业上缴税收和购买国债。DG包括银行的财政存款DGB和人民银行的财政存款DGC,但需要扣除银行持有的国债TBB与中央银行的持有国债TBC对应增加的财政存款部分。这是因为银行购买国债并不属于本文讨论的银行影子业务,由此创造的财政存款不应该体现在D中。中央银行只能从二级市场购买国债,交易对手方主要是银行,这部分曾经由银行购买并持有的国债,也会引起财政存款的变动,但这同样不属于银行影子业务,因此要剔除。 第三,有部分居民存款转移到非银行金融机构在银行的同业存放DNB,如投资货币市场基金、缴纳保费、证券保证金等,这会增加基金公司和保险公司在银行的存款,也要加回到D。注意这里并不包括银行同业存放形式DB,因为不论是传统的放贷业务和外汇业务,还是前文分析的银行同业渠道,对负债方的影响均是企业存款增加,而银行的同业存放则不变。 第四,银行资产负债表中包括股本、资本公积、盈余公积、未分配利润等在内的资本项K均来源于存款。如表7所示,银行Y发行股票时,股票购买者B的银行存款减少,同时银行资本项下的股本或者资本公积等额增加。盈余公积和未分配利润主要来自利息收入,而后者也是由企业B的存款转化而来。负债项下企业B的存款减少120元,其中100元用于偿还本金,导致资产项下企业B贷款等额减少,剩余20元用于支付利息,导致银行利润增加20元。 表7:银行资本形成的信用行为机制 (单位:元)

综上,式(1)右端有:
需要注意的是,表外理财虽不属于本文讨论的具有信用创造功能的影子银行范畴,但仍需“回表”纳入负债方的核算,原因如下。从前文表4的银行资产负债表资产方可以看出,在购买表外理财的存款D2出表的同时,创造它的居民R2贷款却留在表内,这会造成后者在所有表内负债中没有对应者,当试图通过用负债减去非影子资产,从而得到银行影子时,会多扣减R2部分,相应的银行影子规模会被低估。因此,需要将表外理财存款“回表”,令通过理财业务出表的银行传统业务(如这里的向R2发放贷款以及随之创造存款D2)同时反映在银行负债端和资产端。这样,两者相减得到的才是准确的。将式(2)代入式(1),并考虑表外理财因素,可得银行影子的规模:
在实际测算中,货币供应量 净财政存款: 其中DGB,DGC为银行和中央银行的财政存款余额,TBC、TBB分别为银行的国债托管量和中央银行持有的国债额。外汇占款换算时,采用央行购汇时的汇率而非即期汇率。因为式(1)左端是实际的银行存款额,只有右端的为每笔外汇兑换所带来人民币存款实际增加额,才能使等式成立。 由此,我们可以得到银行影子规模见图1: 图1:银行影子规模测算 图1列示了银行影子规模及其与银行创造的信用货币总规模之比,后者包括传统贷款业务、外汇业务、企业债券投资以及银行影子业务四种途径。以此次国际金融危机和相关监管措施出台为划分点,银行影子规模和占比的演变大致可以分为以下四个阶段。 第一阶段为2006年1月—2008年10月,银行影子规模平稳、占比大幅下降。在次贷危机爆发前,银行存款负债与传统资产(主要包括贷款和外汇)之差为正,规模在5-7万亿元。这主要是在2004年之前的国有银行改革时期,银行为剥离不良资产而购买资产管理公司债券,大规模核销不良贷款,以及外汇储备注资等造成的,与银行影子无关。2006年之后,这部分差值规模稳定,同时银行影子在银行创造信用货币总规模中的占比逐年大幅下降,表明在这段时期内银行主要通过传统的贷款和外汇渠道为社会创造信用货币。 第二阶段为2008年11月—2011年10月,银行影子规模和占比平稳。政府出台的4万亿元投资计划刺激了银行扩张资产的冲动,资产负债表规模迅速膨胀,造成存款负债与传统资产之差由期初的5.3万亿元,大幅增加到2011年6月的14.71万亿元。但由于银行通过贷款方式创造的信用货币规模也很大,上述差值在货币总量中占比增长较为缓和,仅由10.61%增加为13.32%。这表明在上述阶段内,银行影子资产渠道在银行信用扩张活动中的地位,没有发生本质变化,传统的贷款和外汇渠道仍占据主要地位。 第三阶段为2011年10月-2014年5月,银行影子规模和占比双增。2010年第三季度,货币当局开始实施稳健的货币政策,并引入了以资本金约束为主要特征的宏观审慎工具加强调控,同时对房地产等产能过剩领域出台了比较明确的信贷政策。为了规避上述信贷政策并突破资本约束限制,银行通过“投资业务”、“同业业务”等手段,将贷款资产转为银行影子,以满足房地产企业和地方政府融资平台的刚性资金需求。从图1可以看出,自2011年10月起,银行影子业务规模持续攀升,2014年5月达到历史高点29.63万亿元,在货币总量中的占比也一路上升至21.76%。 第四阶段为2014年6月-2014年12月,银行影子规模和占比开始回落。受2014年5月16日中国人民银行、银监会、证监会、保监会、外汇局联合发布的《关于规范金融机构同业业务的通知》(银发127号文)的影响,从2014年6月后,不论是绝对规模还是相对占比,银行影子都呈逐渐下降的趋势。2014年9月末,银行影子规模收缩至28.35万亿元,占比降至20.43%。这是监管规范的结果,也与经济增速下行、信用风险增加等因素有关。但银行影子的绝对规模仍较高,如果外部环境变化,或银行继续开展以规避监管为目的的“金融创新”,不排除会重新恢复增长。 与银行影子相比,我国传统影子银行规模相对较小。在2010年之前,传统影子银行发展缓慢,规模在2万亿元以下,与银行创造信用货币的比值不超过2%,非银行金融机构在满足社会融资需求上作用较小。2010年之后,传统影子银行的规模增长较快,与银行创造信用的比值也随之不断上升,至2014年9月,传统影子银行的规模到达15.07万亿元,与银行创造信用的比值为11.07%,非银行金融机构对现有货币存量的利用效率不断提高,在信用创造活动和满足社会融资需求中扮演更为重要的角色。但需要注意的是,从上述测算可见,银行部门在信用活动中仍然占据主导地位,导致中国银行影子规模大,在信用货币创造中的占比高,对于宏观调控和金融风险管理有重要影响,需要从宏观视角研究管理方式。 四、影子银行的监管 中国影子银行包括银行影子和传统影子银行两部分,其中银行影子业务实质是银行创造信用货币的过程,改变信用货币数量,因此对物价水平、经济增长和风险管理等方面都会产生影响。一是银行的微观风险。从对银行影子信用行为机制的分析来看,银行引入的理财产品与用来满足企业融资需求而创造的信用货币之间没有任何关系。即使银行通过法律契约将理财产品投资者和企业不规范地联系起来,也无法真正摆脱自己债权人的真实身份,银行表外业务的风险实质上仍在表内。在信用风险显性化时,银行往往需要承担损失。二是宏观风险。银行影子业务的实质为贷款,但形式上却体现为其他资产科目,货币当局针对贷款实施的包括信贷政策、资本充足率要求以及基于资本充足率的宏观审慎管理等在内的监管和调控,就难以生效,导致系统性风险的累积。三是影响货币政策调控。在结构性的流动性短缺框架下,货币当局主要依靠银行体系流动性(基础货币)总闸门,实现对社会融资规模的调控,银行影子拉长了社会融资链条,其会计记账又不透明、不规范,存在严重的信息不对称,增大了银行流动性需求的不稳定性,使得货币当局难以通过控制流动性对货币环境进行调控。这也是造成2013年6月中国货币市场利率大幅波动的原因之一。 银行影子的实质为银行创造信用货币的行为,而信用货币不同于实物货币,本身并没有实际价值,其数量也不受自然条件的制约,是银行通过自身的资产扩张行为创造出来,必须从外部采取规则治理和法律治理的方式加以约束。党的十八届四中全会提出全面推进依法治国,为从根本上防范银行影子的风险,需要从规范银行信用货币创造行为出发,依法对其进行治理。 银行经营行为的基本特点是可以通过资产扩张创造信用货币,根据银行用以创造信用货币而购买的资产种类不同,可以将银行创造信用货币的方式分为三类。第一类方式是银行购买对信用货币持有主体的债权,即贷款。第二类方式是银行购买对第三方主体的债权,如外汇、国债等。银行购买外汇是持有对外国银行的债权,购买国债是持有对财政的债权。第三类是银行给自身购买商品(如购买办公大楼)。在第一类方式下,客户可通过归还贷款的方式,消除自己持有的银行负债(存款),其信用货币的创造和消除是对称的。在第二类方式下,客户无法以偿还债务的方式消除银行负债(存款),向银行出售第三方债权的行为又受制于银行。因此,消除持有的信用货币的障碍要远大于第一类方式下的客户,可能导致信用货币的过度创造。第三类方式对于非银行部门来说,显然非常不公平。因此,第一类方式优于第二类方式,而第二类方式又优于第三类方式。这表明,银行的不同资产形式对于创造信用货币来说有很大区别,并非银行所有的资产扩张行为都应当被允许创造信用货币。信用货币制度下的货币创造行为,需要纳入法治框架严格管理,即限定银行通过创造信用货币方式购买资产的范围,允许银行购买对客户债权,限制购买对第三方债权,禁止给自身购买商品,以此划定银行创造货币能力的边界,防止银行信用货币创造行为的失控。 银行创造货币是通过会计复式记账方法,以资产创造负债的形式来实现的。要从法律层面规范银行的信用货币创造行为,必须从会计立法入手。如果只是泛泛地对银行信用货币创造行为加以限制,银行还是可以通过很多不规范方式来创造信用货币,法律也就难以真正起到作用。通常所说的会计实际是指企业会计,主要目的是为企业内部经营管理提供信息,其法律法规偏重于从利润核算角度设立会计标准。而银行会计除了解决银行自身作为企业所面临的上述问题之外,还通过记账方法解决了更为重要的信用货币创造功能问题。银行贷款创造存款货币,就表现在银行的会计分录中: 借:贷款 贷:存款 当会计记账将企业在银行的存款增加某一数量时,信用货币就产生了。因此对企业来说,会计是企业经营行为的记录;但对银行来说,会计不仅是信用货币创造等经营行为的记录,在某种程度上,它就是信用货币创造本身。银行会计决定了信用货币创造的边界,其重要性需要充分认识。我国目前虽然有关于中央银行、银行业监督管理部门、商业银行和会计的法律,但尚无针对银行会计制定的法律。有必要制定银行会计法,将银行作为特殊会计核算主体在法律层面予以规范。 对于银行开展的银行影子业务来说,其创造信用货币的方式在表面上是第二类方式,即银行购买对第三方主体的债权,但实质上是第一类方式,即银行购买对信用货币持有主体的债权。由于在会计上将实质为贷款的业务记为其他科目,导致会计反映的基础信息不准确,监管部门根据会计数据再对这些已经混淆的科目进行监管,其难度就会明显加大。因此,应按照实质重于形式的原则,从会计立法上严禁银行将购买对客户债权的银行影子业务,记为同业等其他科目,明确要求银行将实质为银行债权和债务的业务记入表内,从而可以在现有信贷管理体系下,借助准备金率、信贷政策和资本充足率等工具,调控银行的货币创造能力。 党的十八届五中全会提出,坚持创新发展,必须把创新摆在国家发展全局的核心位置,不断推进理论创新、制度创新、科技创新、文化创新等各方面的创新。为加强对影子银行的监管,需要进行制度创新,针对银行影子和传统影子银行分别设计宏观审慎管理工具。在法律制度层面从根本上规范银行影子业务的基础上,货币当局应对商业银行和非银行金融机构实施差别监管,对银行实施“资产准备金”制度,而对非银行金融机构实施“风险准备金”制度。与“存款准备金”制度不同,“资产准备金”制度是中央银行按照银行不同资产的风险特征,要求其持有一定规模的在中央银行存款。在规范银行会计的前提下,不同风险特征的资产归在不同的资产项下,资产准备金不仅可以控制资产风险,更为重要的是,从创造源头(资产而非负债)来控制货币,从而可以提高政策调控的传导效率。非银行金融机构的运行机制不同于银行,不是贷款创造存款,而是“吸收存款并以此发放贷款”,类似于实物货币制度下银行的业务模式。因此,参考实物货币制度下的银行存款准备金制度,要求非银行金融机构在吸收存款后,将其中一部分留存在银行,以应对流动性风险,即为“风险准备金”,其余部分可以用于发放贷款或者购买债券等投资活动。非银行金融机构的信用行为虽然不会引起银行与货币当局资产负债表的变动,但却能对社会资产负债表产生影响,其创造信用的过程会导致非银行金融机构自身、居民以及企业资产负债行为的变化。“风险准备金”制度可以将传统影子银行信用行为与货币当局资产负债表相联系,有效约束非银行金融机构的信用行为。通过上述两种制度安排,构建对整个影子银行业务的广义宏观审慎管理框架,该框架和监管部门的微观审慎管理等其他政策相结合,共同形成完整的影子银行管理的法规体系。



来源:清华金融评论(微信号:thf-review,网站:http://www.thfr.com.cn/)
表情