我终于看了真的期权知识!
来源:期权时代 作者:引一汪活水期权保证金的设计与制度模式期权保证金在期货交易中,为保证买卖双方履约,交易双方需按照合约价值缴纳一定的
来源:期权时代 作者:引一汪活水
期权保证金的设计与制度模式
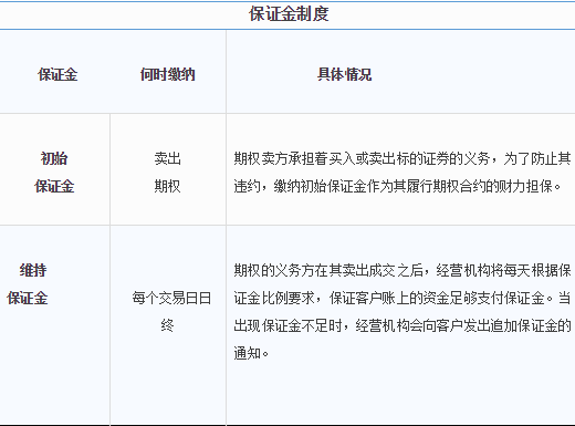
期权保证金
在期货交易中,为保证买卖双方履约,交易双方需按照合约价值缴纳一定的保证金。而在期权交易中,由于买卖双方权利与义务的不对称,保证金的缴纳与期货交易有所不同。买方向卖方支付一笔权利金,买方获得了权利但没有义务,因此,除权利金外,买方不需要缴纳保证金。卖方获得了买方的权利金,只有义务没有权利,因此,其需要缴纳保证金,保证在买方执行期权时履行合约。
除了初始保证金,还有追加的维持保证金,也叫补充保证金,是指投资者日终时仍有未平仓合约时需缴纳的保证金。平仓不需要缴纳保证金。对已开仓合约进行平仓时,将返还保证金。


期权保证金制度模式
虽然期权交易存在保证金制度,但全球各交易所实行的保证金制度并不完全相同,而且现货期权和期货期权的保证金制度之间也存在差异。整体来看,美国是现代期货及期权交易的发源地,其他国家的大多数交易所的保证金制度也是参考美国的设计思路。
在美国,现货期权最低保证金额度由监管机构确定,各交易所要求结算会员在此基础上进行适当的向上调整,而结算会员对一般投资者的保证金要求会更高,这一点类似于目前我国期货市场的保证金制度。而期货期权的保证金制度要相对现货期权来说复杂些,由于其以期货合约为标的,故其与期货市场上的保证金制度也密切相关。
总体而言,期货期权的保证金制度主要是经历了三个过程,即传统模式、Delta模式和Span模式。
1. 传统模式
这种模式是在1973年发展起来的,交易所以权利金、期货合约保证金和期权价值等参数为基础计算期权保证金。对于期权卖方,需要缴纳的保证金可以表示为:
MAX(权利金+期货保证金-1/2期权虚值额,权利金+1/2期货保证金)
上式中的保证金计算取决于期权的虚值程度。如果是实值或平值期权,则保证金为权利金+期货保证金;如果为虚值期权,则要比较虚值的深度。这种模式下所得到的保证金额度较高,能较好保证交易的安全性,但不便于计算期权组合的综合保证金额度。目前我国的台湾期货交易所采用的就是这种传统保证金模式。
2. Delta模式
这是一种资金使用效率优于传统模式的制度,其期权保证金的计算公式为:
期权保证金=权利金+Delta ×期货保证金
买权的保证金与Delta之间为正向变动,卖权则反向变动,这主要是因为买权的Delta为正,卖权为负。Delta系数的变化直接影响保证金的变化。这种制度的一个进步之处就是考虑了不同期货价格下的不同期权风险。
但是,从期权的定价公式来看,标的资产价格的变化只是影响期权价值的因素之一,并未考虑到其他因素(波动率、执行价格、时间等)对期权风险的影响。此外,Delta更多反映的是历史情况,前瞻性有待进一步考察。
3. Span模式
为综合考虑标的物价格波动率的变动、时间风险、各标的物之间价格相关性变动和价差风险,Span结算制度就显得更加综合。其通过模拟资产组合随市场状况的变化可能出现的各种反映,得到最大可能的日亏损,减去部分可以相互抵消的风险,逐步修正后得到一个相对合理的保证金。其保证金计算公式为:
Span的总保证金金额=Σ各商品群的风险值-期权净收益
上述公式中,商品群的风险值是指先将投资组合中的头寸依照分类标准分成各个不同的商品组合,并对每个商品组合计算风险值。而期权的净收益是指将所持有的期权依现在市价立即平仓后的现金流量。
由此可见,Span在对投资组合的保证金测算过程中,能实现保证金覆盖各种模拟情形的最大损失。这是综合考虑了各种可能影响损益因素后的结果。
除了上述三种基本的保证金制度外,芝加哥期权交易所开发的市场间保证金计算系统(theoretical inter-market margin system,简称为TIMS)也被一些交易所接受和使用。各交易所期权合约的标的资产价格波动大小有所差异,投资者所承担的风险也有所不同。在进行期权投资之前,投资者一定要熟悉交易所的保证金制度,合理安排头寸和进行资金管理。
强行平仓
在期权交易中,期权卖方必须按照一定规则缴纳保证金,作为其履行期权合约的担保。同时,还需要每天根据市场价格变动及保证金比例要求,保证账上的资金足够支付保证金。如果出现所需的保证金接近甚至超过客户全部资金时,经营机构将向客户发出追加保证金的通知。如果客户在规定的期限内,未能及时划入资金,那么投资者所持有的义务仓头寸将有可能被强行平仓。
强行平仓对投资者来说意味着永久性失去被平仓部分的期权,无法在继续享有该部分的收益或损失。对于持有义务仓期权投资者来说,应该平时关注账户内余额变化情况,做到心中有数,在出现保证金不足的情况下,及时补足资金。
期权的定价原理及模型
为什么要进行期权定价?
期权交易最重要的是权利金价格。期权定价的过程,是根据影响期权价格的因素,通过适当的数学模型,去分析模拟期权价格的市场变动情况,最后获得合理理论价格的过程。由于期权交易中期权市场价格有时会偏离公允价格,无论是一般投资者还是做市商,都需要有自己的判断,利用模型获得较为合理的定价,交易所也需要发布理论上的合理价位供大家参考。
通过定价模型可以给出期权价格的风险指标,从而用于控制投资风险。期权定价模型主要是基于无套利均衡定价理论,基本思想是指如果市场上存在无风险的套利机会,那么市场处于不均衡状态,套利的力量会推动市场重新均衡,而套利机会消除后的均衡价格即是市场的真实价格。
期权定价模型需要的主要参量有标的物价格,行权价格,标的物价格的波动率,期权合约的到期时间,无风险利率。这些参量是影响期权价格的主要因素。
看涨与看跌期权定价原理介绍
1. 看涨期权定价原理
权利金=内涵价值+时间价值
内涵价值取决于标的物价格与执行价格,这是确定的;时间价值取决于剩余时间,利率,波动率等因素,是不确定的;为期权定价,主要是研究期权的时间价值。
我们定义下面的符号:
S:表示标的物价格;
X:表示期权的执行价格;
C:表示看涨期权的价格;
P:表示看跌期权的价格;
T:表示期权到期日。
看涨期权权利金上限:C≤S
如果C≥S,则若看涨期权到期作废,其买方的损失将超过直接购买标的物的损失,这便失去了期权投资的意义。投资者便不如直接购买标的物,损失更小而成本更低。所以权利金不应该高于标的物的市场价格。即通过期权方式取得标的物存在的潜在损失不应该高于直接从市场上购买标的物所产生的最大损失。
看涨期权价格下限:C=Max[0,(S-X)]
证明:期权未到期时是含有时间价值的,所以期权权利金的下限一定出现在到期日T,此时没有时间价值
如果在到期日T,标的物价格S≤执行价格X,那么以执行价格行使看涨期权没有价值,即C=0;
如果在到期日T,标的物价格S≥执行价格X,那么以执行价格行使看涨期权价值就等于标的物与期权执行价格的差,即C=S-X。
综上,看涨期权在到期日的价值,也就是看涨期权的价格下限可以表示为:C=Max[0,(S-X)]

2. 看跌期权定价原理
看跌期权权利金上限:P≤X
如果P>X,则若看跌期权到期行权,看跌期权多头头寸在执行价格X处转化为标的物空头,此时理论上的最大盈利(标的物价格跌至零)为X,没有弥补权利金P的损失,失去了投资期权的意义,所以看跌期权权利金上限为执行价格X
看跌期权价格下限:P=Max[0,(X-S)]
证明:期权未到期时是含有时间价值的,所以期权权利金的下限一定出现在到期日T,此时没有时间价值
如果在到期日T,标的物价格高于期权的执行价格,那么,以执行价格行使看跌期权就没有价值,即P=0;
如果在到期日T,标的物价格低于期权的执行价格,那么,以执行价格行使看跌期权,价值就等于执行价格与标的物价格的差,即P=X-S。
综上,看跌期权在到期日的价值,也就是看跌期权的价格下限可以表示为:P=Max[0,(X-S)]

二叉树期权定价模型
二叉树期权定价模型是常用的期权定价模型之一,该模型由约翰•考克斯(John C.COX)、罗斯(S.A.Ross)以及马克•鲁宾斯坦因(Mark Rubinstein)在1979年提出。
二叉树模型是标的资产价格的变化只存在两种可能性,也就是说标的资产的价格只存在两种可能的新价格。
二叉树模型可以用来对典型的不支付红利的欧式期权定价,也可将模型修改后对美式期权及支付红利期权定价。
二叉树期权定价模型假设条件:
交易成本与税收为零
投资者可以以无风险利率借入或贷出资金
市场无风险利率为常数
股票的波动率为常数
不支付股票红利
模型中使用的符号假定:
S:期权标的资产的即期价格
X:期权执行价格
T:期权的到期时间
:在T时刻标的资产的价格
σ:期权标的资产价格波动的标准差
r: 在T时刻到期的投资的无风险利率(r>0)
c: 看涨期权的价格
p: 看跌期权的价格
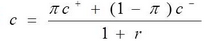
1. 一阶段二叉树模型
一阶段的含义
标的资产的价格变化从一个给定的价格开始,在期权到期时价格变化为一个新的价格。在这里我们定义一个阶段后,标的资产价格上升至或者下降至,并且期权是欧式期权,也就是期权只有到期时才能行权。
一阶段二叉树模型构造
我们首先构造一个看涨期权,假设标的资产价格上升至

,那么看涨期权的价值为

,同样标的资产价格下降至

时,期权的价值为

。我们知道当期权到期时,它的价值就是其内涵价值,所以:

一阶段二叉树模型

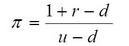
现在我们定义标的资产价格的变化,我们定义两个参数,u表示标的资产价格上升,d表示资产价格下降:

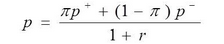
构造一个无风险对冲组合,这个投资组合由标的资产和一份卖出的看涨期权组成。此时我们买入 n数量的标的资产,该投资组合的价值为H,这里H=nS-c,这反映了我们拥有数量的价格为S的标的资产,同时我们卖出一份看涨期权。一阶段后该投资组合的价值为H+或者H-:

由于该组合为无风险的对冲组合,所以无论标的资产价格如何变动,组合的价值都是不变的,它们都是按照无风险利率增长,因此

最终我们得到:

其中:

我们发现期权的即期价格为两种可能期权价格

和

的加权平均值,权重分别为π和1-π。这个加权平均值然后再以无风险利率r进行一个阶段的折现。π和1-π实际上为风险中性概率,以上定价过程也称为风险中性定价。
同理可以得到一阶段看跌期权的公式:

2. 二阶段二叉树模型
一阶段二叉树模型中,资产价格变化只有两个结果,我们现在延伸模型至更加现实的情况,即资产价格变化多于两个结果,从而衍生出二阶段,三阶段等二叉树模型,但基本方法和一阶段并无区别,在此我们不在赘述。
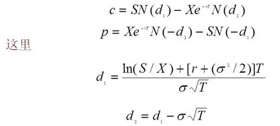
B-S期权定价模型
B-S期权定价模型,即Black-Scholes-Merton期权定价模型(Black-Scholes-Merton Option Pricing Model),翻译为布莱克—斯克尔斯期权定价模型。为包括股票、债券、货币、商品在内的新兴衍生金融市场的各种以市价价格变动定价的衍生金融工具的合理定价奠定了基础。
1. 布莱克-斯科尔斯期权定价方法的基本思想
期权价格及其所依赖的标的资产价格都受同一种不确定因素影响,他们假设的资本价格

遵循随机过程

,其中

为布朗运动,代表一种随机扰动。通过构造一个包含恰当的期权头寸和标的资产头寸的资产组合,可以消除这个不确定因素,标的资产头寸与衍生资产头寸的盈亏可以相互抵消,这样构造的资产组合为无风险的资产组合(否则有套利机会产生),在不存在无风险套利的情况下,该资产组合收益率应该等于无风险利率。
2. 布莱克-斯科尔斯有一系列的假设条件
股票价格服从对数正态概率分布,股票预期收益率与价格波动率为常数
无风险利率是已知的并且保持不变
期权有效期内没有红利支付
不存在无风险套利机会
证券交易为连续进行
投资者能够以同样的无风险利率借入和借出资金
没有交易成本与税收,所有证券均可无限可分
3. 布莱克-斯科尔斯期权基本定价公式
在以上假设的基础上,布莱克-斯科尔斯给出以下公式:


表示标准正态概率分布值,具体的值可以查正态概率分布表。在公式中,期权价值决定于五个变量:标的资产的即期价格S,期权执行价格X,无风险利率r,期权到期时间T,标的资产的价格的标准差(通常称为波动率)σ。
从理论上说,布莱克-斯科尔斯期权定价公式只有在利率r为常数时才正确。实践中,公式中采用的利率r等于期限为T的无风险利率。
4. 布莱克-斯科尔斯模型的优越性
首先,模型中包含的变量均是可以观察或者是估计的;
其次,模型体现的创新思想是期权价格与标的资产的期望收益无关,即风险中性定价。期权价格不依赖于投资者的风险偏好,简化了期权的定价。
布莱克-斯科尔斯定价理论近40年来获得了巨大发展,应用于除股票外的其他衍生工具期权定价,包括相应的计算公式、相同的方法被应用到货币期权、期货期权、利率期权等领域。
影响期权价值的重要因素
标的价格对于期权价值的影响
标的的价格是对于期权机制影响最大的因素之一。当标的的当前价格高于行权价格时,标的价格的波动会直接影响到期权的内在价值,而标的价格的波动同样会影响到标的价格在未来时间里的价格分布预期进而影响到期权的时间价值。
通常,我们用指标Delta来衡量标的价格的变动对于期权价值的影响程度,Delta=期权价值的变动/标的价格的变动。
假设期权标的价格上涨1元,期权的理论价值上涨0.5元,则我们认为该期权的Delta=0.5.一般而言,看涨期权的delta值在0-1之间,通常平价期权的delta值在0.5附近,期权的价内程度越高,则delta值约接近于1,价外程度越高,则delta值越接近于0.从通俗的角度理解,一个行权价为0的期权,基本上可以认为它的波动与股价波动完全相同,而一个行权价极度高于股票现价,不可能在期权期限内到达行权价之上的期权则可以认为是一张废纸,价值为0不会随着股价波动而变化。看空期权的Delta值也存在类似规律。如下图所示:


假设一个行权价为10元,标的隐含波动率为30%,剩余期权为1年,当期利率为年化4%的欧式看涨期权,在不同价格下,其股价上涨1%所对应的期权价值的变动幅度如下表:

如上表所示,随着标的价格的下降,投资期权的实际杠杆率不断上升,投资高度价外期权可以获得很高的投资杠杆。但是需要注意的是,高度价外期权的风险同样很高,一旦投资者认为股价已经不可能到达行权价之上,期权的价格可能快速下跌接近于0,成为一张废纸。此外,由于价外期权的价值均为时间价值,因此投资者持有期权期间的时间价值损耗同样十分严重。
期权价值对于隐含波动率的敏感性
期权的时间价值来自于期权标的价格波动可能带来的收益,因此期权标的的波动性对于期权的时间价值影响很大,若一只个股由于利好,公司决策等因素导致股价可能大幅波动,其期权的价值也会随之升高。同样的,若是由于某些基本面因素导致投资者认为标的价格后期可能走稳,波动变小,那么即使期权标的的价格没有下跌,期权的价值也会大幅下降。
通常情况下,我们用Vega值来衡量波动率变化对于期权价值的影响。Vega=期权价值的变动/波动率的变动。
依然以上述期权为例,当其他条件一定时,期权标的的波动性从30%降低到25%时,不同价内价外程度的期权价值的变化程度。

可以看到,当期权的价外程度越高,波动率变化带来的影响越大,因此,若是预期标的的波动率上升,则可以买入高度价外期权进行投机。若是预期波动率将下降,则可以考虑卖空高度价外的期权。
很容易可知,剩余期限越长的期权,受到波动率变化的影响越大,而一个即将到期的期权受波动率变化的影响则微乎其微。
Theta值:剩余期限对于期权价值的影响
期权的剩余期限是期权时间价值的重要影响因素。剩余期限越长,期权的时间价值主要来自于两个方面。一方面时间价值来自于期权收益的不对称性,当标的价格波动至期权行权价之下时,期权的收益不会随着标的价格继续下跌而下降。期权的剩余期限越长,则期权标的价格的可能分布区间越广,这种不对称性所带来的收益也越高。
另一方面,持有看涨期权的收益类似于以一定杠杆买入期权标的,期权的时间价值中也包括这部分杠杆的资金成本。在持有期权期间,随着时间流逝期权的时间价值是在不断地流失的。即使期权标的价格没有发生变化,期权的价值也会不断地下降。因此,期权的持有方需要考虑持有期权期间的成本。
我们通常用Theta来衡量期权期限对于期权价值影响程度的敏感性指标。不同剩余期限的期权,时间变化对于期权的影响程度也不一样。仍然以上述期权为例。假设期权存续期内期权一直处于平价状态,随着时间流逝期权价值的变化情况。可以看到,随着剩余时间的逐渐缩短,期权时间价值的流逝速度也逐渐加快。

容易得知,价外程度越高的期权,由于价外期权需要在到期前标的价格达到行权价之上才能有行权价值,因此随着时间流逝,若其标的价格未上涨,在期权到期前标的价格到达行权价之上的概率也随之缩小,期权的理论价值也会快速缩水,而高度价内期权由于标的价格大幅高于行权价,在一定范围内,期权的行权收益会随着标的价格的下跌而下降,因此其收益的不对称性表现的并不明显,并且对于价内期权而言,时间价值只是期权的一部分,因此期权的价内程度越高,期权价值对于剩余期限的敏感度越低。
与之类似的是,期权的隐含波动率越高,期权的时间价值敏感度越高。
RHO值:利率对于期权敏感度的分析
持有看涨期权可以获得期权标的价格上涨的收益,并且看涨期权的价格低于期权标的的价格,因此,持有期权期间的盈亏可以看作以杠杆借入资金后持有期权标的的结果(在过去的文章中我们曾经介绍过如何以股票组合模拟看涨期权的效果),因此,期权的时间价值中也包括这部分杠杆所带来的利息价值。这部分的价值与市场同期的资金无风险收益率息息相关。因此利率的变动会对所有期权的价值产生影响。通常我们用指标Rho来衡量期权价值对于利率变动的敏感性。
在持有期权期间,若期权的利率上升,则看多期权的价值上升,看空期权的价值下降(若投资者无法使用高杠杆抛空,且抛空后的现金无法使用时如此,若抛空证券本身需要投资者投入等同于标的价格的资金作为抵押,则看空期权的价值同样上升。)利率下降,则看多期权价值下降,看空期权价值上升。
利率的变动对于不同期权的影响程度也有所不同,仍然以之前的例子,假设在其他条件未发发生变化的情况下,市场无风险利率从4%上升到了6%,则期权价值的变化如下表:

可以看到,市场利率上升后对于期权价值有较大的影响,价外程度越高的期权,受到利率上升影响越大,而价内期权受到的影响则相对较小。事实上,期权对利率变动的敏感度rho与期权对标的价格的敏感度alpha正相关,alpha越高,则期权的实际杠杆比例越大,受利率的影响也越大。
通过上面的分析容易得到另外一个结论,剩余期限越长的期权,对于利率的敏感度越高,隐含波动率越高的期权,其价值与利率的敏感度越低。
表情